加入收藏|

您好,欢迎来到减贫研究数据库!

  • 全部
  • 图书
  • 报告
  • 图表
  • 资讯
高级检索
热词推荐:

CPAD全方位展现我国贫困地区档案、减贫政策演进、贫困成因与减贫努力、国内外减贫理论与实践、专家观点与建议、减贫数据图表,为学术提供理论指导,为政府提供决策参考,为中国减贫事业提供智力支持。

5年脱贫7000万,时间紧,任务重,精准扶贫是关键!CPAD全方位展现我国贫困地区档案、减贫政策演进、贫困成因与减贫努力、国内外减贫理论与实践、专家观点与建议、减贫数据图表,为学术提供理论指导,为政府提供决策参考,为中国减贫事业提供智力支持。

5年脱贫7000万,时间紧,任务重,精准扶贫是关键!CPAD全方位展现我国贫困地区档案、减贫政策演进、贫困成因与减贫努力、国内外减贫理论与实践、专家观点与建议、减贫数据图表,为学术提供理论指导,为政府提供决策参考,为中国减贫事业提供智力支持。

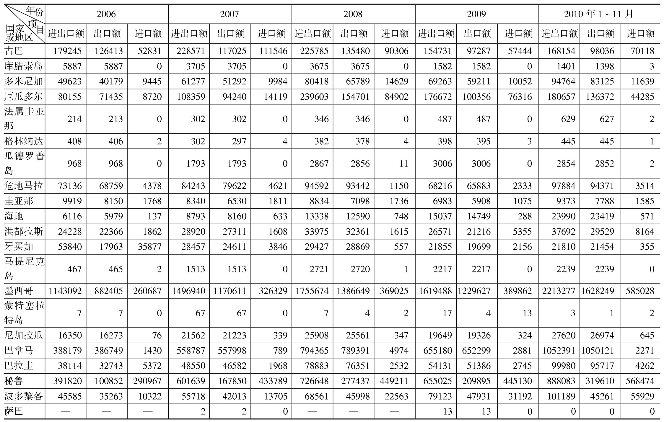
图片名称: 续表
所属图书:拉丁美洲和加勒比发展报告(2010~2011)
出版日期:2011年4月
关键词:
中拉贸易统计(2006~2010年)

拉丁美洲和加勒比发展报告(2010~2011)

续表

续表